Échangeons, communiquons ...
Année : 2025
Filière : PC
Concours : ENSEA/ENSIIE
Matière(s) concernée(s) : Physique
Type(s) de sujet(s) : Exercice
Mots-clés relatifs au contenu de l'épreuve : Dipôle magnétique - Force de Laplace - Induction
Énoncé(s) donné(s)
Interaction dipôle-conducteur
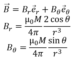
Un cylindre de métal d’axe vertical, de longueur L, de rayon R et d’épaisseur e avec L >> R >> e peut se déplacer librement selon son axe. Il a une masse m et subit également l’action de son poids. La conductivité du métal du cylindre est s. On place un dipôle magnétique au cœur de ce cylindre. Le dipôle est fixe et son moment est orienté verticalement (
).

On cherche à déterminer les équations du mouvement du cylindre et à les résoudre. Le champ magnétique créé par un dipôle magnétique est en coordonnées sphériques :

1 – Calculer le courant induit dans un élément infinitésimal du cylindre défini par la variation infinitésimale dq.
2 – En déduire la force exercée sur cet élément, puis celle sur tout le cylindre.
3 – Etablir et résoudre les équation du mouvement (On note V la vitesse verticale du cylindre).
On donne : ![]()
Indication(s) fournie(s) par l'examinateur pendant l'épreuve
Commentaires divers
Aucun commentaire posté pour le moment