Échangeons, communiquons ...
Année : 2025
Filière : PC
Concours : Centrale-Supélec
Matière(s) concernée(s) : Physique
Type(s) de sujet(s) : Exercice
Mots-clés relatifs au contenu de l'épreuve : Mécanique des fluides - Système ouvert en régime permanent
Énoncé(s) donné(s)
Vanne
On ouvre une vanne sur un cours d’eau de hauteur h et de largeur L. En aval de la vanne, le cours d’eau a une hauteur h’ < h. L’eau est un liquide de masse volumique $\rho$ supposé parfait, incompressible et en écoulement stationnaire.

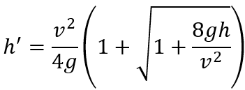
1 - Montrer que la hauteur d’eau h’ en aval de la vanne s’exprime :

Effectuer l’application numérique.
2 – Exprimer la résultante des forces horizontales exercées par l’écoulement sur la vanne en fonction de $\rho$, g, h, h’, L, v et v’.
Donnée :
$\rho$ = 1,0.103 kg.m-3
g = 9,8 m.s-2
v = 3,0 m.s-1
h = 7,0 m
L = 15 m
Indication(s) fournie(s) par l'examinateur pendant l'épreuve
Commentaires divers
Aucun commentaire posté pour le moment